Задание 5.17 - ГДЗ Математика 6 класс. Виленкин, Жохов. Учебник часть 2. Страница 79

Старая и новая редакции

Вернуться к содержанию учебника

5.14 5.15 5.16 5.17 5.18 5.19 5.20

Вопрос

№5.17 учебника 2023-2026 (стр. 79):

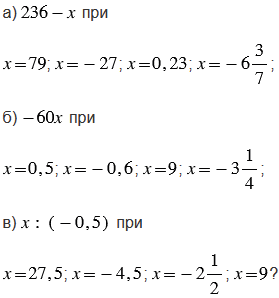
При каком значении получим наибольшее значение выражения:

Подсказка

№5.17 учебника 2023-2026 (стр. 79):

Вспомните:

  1. Положительные и отрицательные числа.
  2. Модуль числа.
  3. Вычитание рациональных чисел.
  4. Умножение рациональных чисел.
  5. Деление рациональных чисел.

Ответ

№5.17 учебника 2023-2026 (стр. 79):


Вернуться к содержанию учебника