Вернуться к содержанию учебника
№5.24 учебника 2023-2026 (стр. 80):
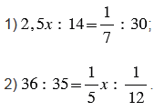
Найдите х из пропорции;

№5.24 учебника 2023-2026 (стр. 80):
Вспомните:
№5.24 учебника 2023-2026 (стр. 80):


Пояснения:
Чтобы найти неизвестный член пропорции используем то, что произведение крайних членов пропорции равно произведению ее средних членов, и получаем уравнение, в котором неизвестен множитель. Чтобы найти неизвестный множитель, нужно произведение разделить на известный множитель.
Правила, по которым выполнены вычисления, смотрите в подсказке.
Вернуться к содержанию учебника