Вернуться к содержанию учебника
Проверьте себя
Проверочная работа №1
1. Расположите числа в порядке возрастания:
-27; 24; -32; 62; 19; -1; 0;
; 0,5.
2. Сравните числа:
а)
и -0,8;
б) -0,18 и
.
3. Вычислите:
а) 23 - 48;
б) -0,5 - (-0,11);
в) 6 - (-0,2).
4. Найдите значение выражение
-
, если
= 0,3,
= 6,7.
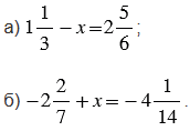
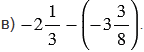
5. Решите уравнение:

Проверочная работа №2
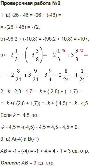
1. Вычислите:
а) -26 - 46;
б) -96,2 + (-10,8);

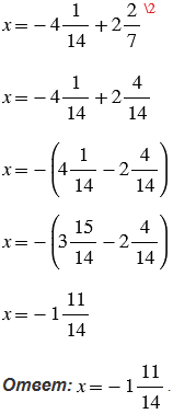
2. Упростите выражение -k - 2,8 - 1,7 и найдите его значение при k = -4,5.
3. Найдите расстояние в единичных отрезках между точками:
а) А(-4) и В(-1);
б) С(-5,4) и K(6,6);

4. Найдите значение выражения:
а) -23 - 17 + 10;

5. Может ли разность двух чисел быть больше суммы этих же чисел? Если да, приведите пример.
Вспомните:
стр. 50 учебника 2023-2026:



Пояснения:
При сравнении чисел помним:
1) любое положительное число больше любого отрицательного числа;
2) из двух отрицательных чисел меньше то, модуль которого больше;
3) любое отрицательное число меньше нуля, любое положительное число больше нуля.
Чтобы найти значение буквенного выражения, нужно в это выражение вместо букв подставить числа, им соответствующие, и выполнить вычисления (задание 4).
Чтобы найти неизвестное вычитаемое, нужно из уменьшаемого вычесть разность (задание 5,а).
Чтобы найти неизвестное слагаемое, нужно из суммы вычесть известное слагаемое (задание 5, б).
Чтобы из данного числа вычесть другое, надо к уменьшаемому прибавить число, противоположное вычитаемому. Противоположные числа отличаются только знаками.
Чтобы сложить два числа с разными знаками, надо: найти модули слагаемых (модуль числа принимает только неотрицательные значения); из большего модуля вычесть меньший модуль; перед полученным числом поставить знак слагаемого с большим модулем (обычно сначала определяют и записывают знак суммы, а потом в скобках находят разность модулей, если сумма в итоге получается положительной, то скобки можно не ставить).
Чтобы сложить два отрицательных числа, надо: найти модули слагаемых (модуль числа принимает только неотрицательные значения); сложить модули слагаемых; перед полученным числом поставить знак " - " (обычно знак минус выносят за скобки и в скобках находят сумму модулей).
стр. 50 учебника 2023-2026:



Пояснения:
Чтобы из данного числа вычесть другое, надо к уменьшаемому прибавить число, противоположное вычитаемому. Противоположные числа отличаются только знаками.
Чтобы сложить два числа с разными знаками, надо: найти модули слагаемых (модуль числа принимает только неотрицательные значения); из большего модуля вычесть меньший модуль; перед полученным числом поставить знак слагаемого с большим модулем (обычно сначала определяют и записывают знак суммы, а потом в скобках находят разность модулей, если сумма в итоге получается положительной, то скобки можно не ставить).
Чтобы сложить два отрицательных числа, надо: найти модули слагаемых (модуль числа принимает только неотрицательные значения); сложить модули слагаемых; перед полученным числом поставить знак " - " (обычно знак минус выносят за скобки и в скобках находят сумму модулей).
Числовое выражение, содержащее только знаки сложения и вычитания, можно представить как сумму. Обычно сначала складывают отдельно все положительные и все отрицательные числа, применяя свойства сложения (задания 2 и 4).
Чтобы найти значение буквенного выражения, нужно в это выражение вместо букв подставить числа, им соответствующие, и выполнить вычисления (задание 2).
Чтобы найти расстояние между точками на координатной прямой, надо из большей координаты вычесть меньшую координату. На координатной прямой из двух чисел большее число расположено правее меньшего (задание 3).
При сравнении чисел помним:
1) любое положительное число больше любого отрицательного числа;
2) из двух отрицательных чисел меньше то, модуль которого больше.
Вернуться к содержанию учебника