Вернуться к содержанию учебника
Проверьте себя
Проверочная работа
1. Модуль отрицательного числа равен:
а) самому числу;
б) нулю;
в) противоположному числу;
г) единице.
2. Какое из чисел расположено на координатной прямой ближе к нулю:
а) -3,6 или -3,06;
б) -7,8 или 3,6;
в) 5,4 или
;
г)
или 0,4?
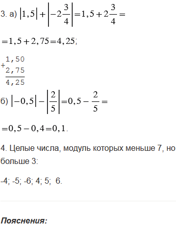
3. Вычислите, ответ запишите в виде десятичной дроби:

4. Запишите все целые числа, модуль которых меньше 7, но больше 3.
Вспомните:
Вернуться к содержанию учебника