Задание 12. Применяем математику - ГДЗ Математика 6 класс. Виленкин, Жохов. Учебник часть 1. Страница 118

Старая и новая редакции

Вернуться к содержанию учебника

Применяем математику. Страница 118

9 10 11 12 13 14 15

Вопрос

№12 учебника 2021-2022 (стр. 118):

Надпись на гробнице замечательного древнего математика Диофанта составлена в виде математической задачи.

Путник! Здесь прах погребен Диофанта. И числа поведать могут о чудо, сколь долог был век его жизни. Часть шестую его представляло прекрасное детство. Двенадцатая часть протекла еще жизни - покрылся пухом тогда подбородок. Седьмую в бездетном браке провел Диофант. Прошло пятилетие; он был осчастливлен рожденьем прекрасного первенца сына. Коему рок половину лишь жизни прекрасной и светлой дал на земле по сравнению с отцом. И в печали глубокой старец земного удела конец воспринял, переживши года четыре с тех пор, как сына лишился. Скажи, сколько лет жизни достигнув, смерть восприял Диофант?

Подсказка

№12 учебника 2021-2022 (стр. 118):

Вспомните:

  1. Что называют уравнением, его корни.
  2. Распределительное свойство умножения.
  3. Свойства сложения.
  4. Сложение дробей с разными знаменателями.
  5. Приведение дробей к общему знаменателю.
  6. Основное свойство дроби (сокращение дробей).
  7. Сложение дробей с одинаковыми знаменателями.
  8. Деление обыкновенных дробей.
  9. Умножение обыкновенных дробей, взаимно обратные числа.
  10. Неправильные дроби.

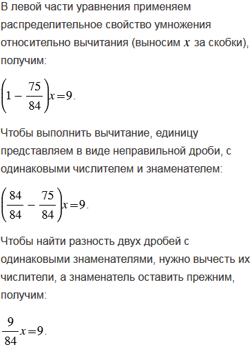
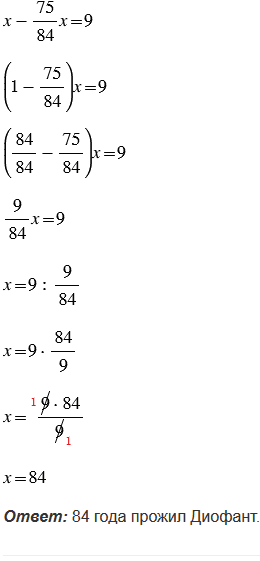
Ответ

№12 учебника 2021-2022 (стр. 118):


Вернуться к содержанию учебника