Вернуться к содержанию учебника
Применяем математику. Страница 117
№9 учебника 2021-2022 (стр. 117):
Бандероли отправляются массой от 100 г до 2 кг. Какую наименьшую сумму потребуется оплатить за отправку в лагерь наборов карандашей и наборов красок для рисования 17 детям? Масса набора красок для рисования равна
кг, а карандашей -
кг. Тарифы на отправку бандероли приведены в таблице справа.
| Вид бандероли и масса | Цена, р |
| Простая, 100 г | 48 |
| Заказная, 100 г | 84 |
| Каждые последующие полные/неполные 20 г любой бандероли | 3,6 |
№9 учебника 2021-2022 (стр. 117):
Вспомните:
№9 учебника 2021-2022 (стр. 117):

3) 7225 : 100 = 72,25 - в посылке содержится 72 раза по 100 г и еще 25 г.
4) 48 • 72 + 3,6 • 2 = 3456 + 7,2 =
= 3463,2 (р.)
|
|
Ответ: потребуется 3463,2 р.
Пояснения:
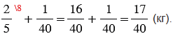
Масса набора красок для рисования равна
кг, а карандашей -
кг, значит, масса набора для одного ребенка:

Чтобы сложить две дроби с разными знаменателями, надо, используя основное свойство дроби, привести данные дроби к общему знаменателю, а затем сложить числители полученных дробей, а знаменатель оставить прежним.
Масса одного набора карандашей и красок равна
кг, в лагерь нужно отправить 17 таких наборов, значит, общая масса посылки:

Чтобы умножить обыкновенную дробь на натуральное число, нужно ее числитель умножить на это число, а знаменатель оставить без изменения. При вычислениях получилась неправильная дробь (числитель больше знаменателя), ее нужно преобразовали в смешанное число. Чтобы неправильную дробь, числитель которой нацело не делится на знаменатель, преобразовать в смешанное число, надо числитель разделить на знаменатель; полученное неполное частное записать как целую часть смешанного числа, а остаток - как числитель его дробной части. Затем, используя основное свойство дроби, преобразовали полученное смешанное число в десятичную дробь, а далее, учитывая то, 1 кг = 1000 г, получили массу всей посылки в лагерь.
Если массу посылки в граммах разделить на 100, то мы узнаем сколько раз по 100 г содержится в посылке и сколько граммов останется.
7225 : 100 = 72,25, значит, в посылке содержится 72 раза по 100 г и еще 25 г.
Нам нужно рассчитать самый дешевый вариант отправки посылки, значит, мы рассматриваем простую посылку, стоимость которой за 100 г равна 48 р. При этом у нас дополнительные 25 г, которые содержат 20 полных и 20 неполных граммов (5 г), то есть дополнительно нам нужно заплатить 3,6 • 2 = 7,2 (р.). Получается, стоимость посылки при самом дешевом варианте отправки будет составлять:
48 • 72 + 3,6 • 2 = 3456 + 7,2 =
= 3463,2 (р.)
Вернуться к содержанию учебника