Вернуться к содержанию учебника
Проверьте себя. Страница 124
№Проверочная работа №1 учебника 2021-2022 (стр. 124):
Запишите отношение:
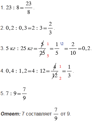
1. Двадцати трех к восьми.
2. Нуля целых двух десятых к нулю целым трем десятым.
Найдите значение отношения:
3. Пяти килограммов к двадцати пяти килограммам.
4. Нуля целых четырех десятых к одной целой двум десятым.
5. Какую часть семь составляет от девяти?
6. Во сколько раз тринадцать больше шести?
Верно ли высказывание (ответьте да или нет)?
7. Отношение двух чисел увеличится, если каждое из них удвоить.
8. Десять минут составляют одну десятую часть часа.
№Проверочная работа №1 учебника 2021-2022 (стр. 124):
Вспомните:
№Проверочная работа №1 учебника 2021-2022 (стр. 124):


Пояснения:
Частное
(
) двух чисел
и
называют отношением этих чисел. Отношение показывает, во сколько раз число
больше числа
, или какую часть число
составляет от числа
. Отношение не изменится, если его члены умножить или разделить на одно и то же число, не равное нулю (сократить).
Если отношение представляет собой неправильную дробь (числитель больше знаменателя), то ее можно преобразовать в смешанное число. Чтобы неправильную дробь, числитель которой нацело не делится на знаменатель, преобразовать в смешанное число, надо числитель разделить на знаменатель; полученное неполное частное записать как целую часть смешанного числа, а остаток - как числитель его дробной части.
Вернуться к содержанию учебника