Вернуться к содержанию учебника
Выберите год учебника
№1.80 учебника 2023-2026 (стр. 24):
Запишите в виде процентов дробь:
а) 7,49;
б) 5,7;
в) 0,013;
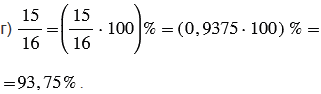
г)
;
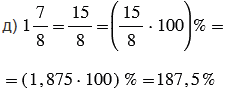
д)
.
№1.80 учебника 2021-2022 (стр. 23):
Внутри прямого угла АВС проведен луч ВD. Чему равны углы АВD и DBC, если:
а) угол АВD в 4 раза меньше угла DBC;
б) угол DBC больше угла АВD на 320;
в) угол АВD в 8 раз больше угла DBC.
№1.80 учебника 2023-2026 (стр. 24):
Вспомните:
№1.80 учебника 2021-2022 (стр. 23):
№1.80 учебника 2023-2026 (стр. 24):
а) 7,49 = (7,49 • 100)% = 749%.
б) 5,7 = (5,7 • 100)% = 570%.
в) 0,013 = (0,013 • 100)% = 1,3%.

| - | 1 | 5 | 1 | 6 | |||||||||||||
| 1 | 4 | 4 | 0 | , | 9 | 3 | 7 | 5 | |||||||||
| - | 6 | 0 | |||||||||||||||
| 4 | 8 | ||||||||||||||||
| - | 1 | 2 | 0 | ||||||||||||||
| 1 | 1 | 2 | |||||||||||||||
| - | 8 | 0 | |||||||||||||||
| 8 | 0 | ||||||||||||||||
| 0 |

| - | 1 | 5 | 8 | |||||||||||||
| 8 | 1 | , | 8 | 7 | 5 | |||||||||||
| - | 7 | 0 | ||||||||||||||
| 6 | 4 | |||||||||||||||
| - | 6 | 0 | ||||||||||||||
| 5 | 6 | |||||||||||||||
| - | 4 | 0 | ||||||||||||||
| 4 | 0 | |||||||||||||||
| 0 |
Пояснения:
Чтобы перевести число в проценты, надо его умножить на 100.
Чтобы преобразовать обыкновенную дробь в проценты, сначала преобразуем ее в десятичную дробь, разделив числитель на знаменатель.
Чтобы преобразовать смешанное число в проценты, сначала преобразуем его в неправильную дробь, а затем в десятичную дробь, разделив числитель на знаменатель.
Чтобы преобразовать смешанное число в неправильную дробь, надо целую часть числа умножить на знаменатель дробной части и к полученному произведению прибавить числитель дробной части; эту сумму записать как числитель неправильной дроби, а в ее знаменатель записать знаменатель дробной части смешанного числа.
№1.80 учебника 2021-2022 (стр. 23):














Вернуться к содержанию учебника