Вернуться к содержанию учебника
Выберите год учебника
№460 учебника 2023-2026 (стр. 109):
Выражение
12 представьте в виде степени несколькими способами.
№460 учебника 2013-2022 (стр. 109):
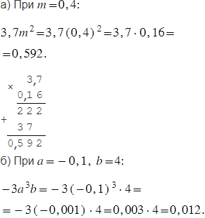
Вычислите значение выражения:

№460 учебника 2023-2026 (стр. 109):
Вспомните:
№460 учебника 2013-2022 (стр. 109):
№460 учебника 2023-2026 (стр. 109):

№460 учебника 2013-2022 (стр. 109):

Пояснения:
Одночлены - это выражения, представляющие собой произведение чисел, переменных и их степеней. Одночленами также считают числа, переменные и их степени. Чтобы найти значение одночлена при данном значении переменной, надо в данный одночлен подставить вместо переменной ее значение и выполнить вычисления.
Правила, по которым выполнены вычисления, смотри в подсказке.
Вернуться к содержанию учебника