Вернуться к содержанию учебника
Проверьте себя
Проверочная работа № 1
Повторение: десятичные дроби
1. Запишите в виде десятичной дроби число
.
2. Запишите в виде десятичной дроби число семь двадцать пятых.
3. Найдите сумму нуля целых четырех десятых и нуля целых четырех сотых.
4. Найдите разность единицы и нуля целых пяти сотых.
5. Найдите произведение нуля целых семи десятых и нуля целых одной десятой.
6. Найдите частное трех и нуля целых пяти десятых.
Верно ли высказывание (ответьте да или нет)?
7. В виде десятичной дроби можно представить только такую обыкновенную дробь, разложение знаменателя которой на простые множители содержит лишь числа два и пять.
8. Частное минус нуля целых одной сотой и минус нуля целых одной тысячной равно десяти.
Проверочная работа №2
Повторение: проценты
1. Запишите в процентах десятичную дробь ноль целых семь сотых.
2. Запишите в виде десятичной дроби двадцать восемь процентов.
3. Запишите в процентах десятичную дробь одна целая две десятых.
4. Запишите в виде десятичной дроби сто пятьдесят процентов.
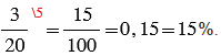
5. Запишите в процентах обыкновенную дробь три двадцатых.
6. Как называется один процент центнера?
Верно ли высказывание (ответьте да или нет)?
7. Ноль целых семь десятых больше пятидесяти шести процентов.
8. Девять метров составляют девять процентов километра.
Проверочная работа № 3
Повторение: обыкновенные дроби
1. Запишите число три целых семь двести пятидесятых.
2. Представьте в виде смешанного числа дробь двадцать три пятых.
3. Запишите в виде неправильной дроби число
.
4. Найдите произведение одной шестой и двух пятых.
5. Найдите частное одной шестой и двух пятых.
6. Найдите разность одной третьей и одной девятой.
Верно ли высказывание (ответьте да или нет)?
7. Число одна целая две пятых обратно числу "пять седьмых".
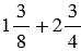
8. Сумма
равна трем целым шести восьмым.
Проверочная работа №4
Повторение: задачи на дроби
1. Найдите две третьих от двенадцати.
2. Сколько сантиметров составляют ноль целых три десятых от двух метров?
3. Найдите число, если две третьих этого числа равны двенадцати.
4. Ноль целых четыре десятых некоторого числа равны восьми. Найдите это число.
5. Во сколько раз одна целая две десятых больше нуля целых четырех сотых?
6. Какую часть число тринадцать составляет от числа девятнадцать?
Верно ли высказывание (ответьте да или нет)?
7. Площадь прямоугольника со сторонами одна пятая метра и одна четвертая метра равна одной десятой квадратного метра.
8. Если одна пятая килограмма конфет стоит двадцать рублей, значит, цена конфет четыре рубля за килограмм.
Проверочная работа № 5
Повторение: задачи на проценты
1. Найдите шесть процентов от десяти.
2. Какое число составляет тридцать процентов от числа четыре?
3. Найдите число, если десять процентов этого числа равны трем.
4. Двадцать пять процентов некоторого числа равны девяти. Найдите это число.
5. Сколько процентов число один составляет от числа пять?
6. Найдите процентное отношение восьмидесяти килограммов и одной тонны.
Верно ли высказывание (ответьте да или нет)?
7. Число сто пятьдесят составляет двести процентов числа семьдесят пять.
8. Если рабочий вместо предусмотренных планом ста деталей изготовит сто восемь, значит, он перевыполнит план на восемь процентов.
Вспомните:
стр. 136-137 учебника 2021-2022:
Проверочная работа № 1
Повторение: десятичные дроби

3. 0,4 + 0,04 = 0,44.
4. 1 - 0,05 = 0,95.
5. 0,7 • 0,1 = 0,07.
6. 3 : 0,5 = 30 : 5 = 6.
7. Да, в виде десятичной дроби можно представить только такую обыкновенную дробь, разложение знаменателя которой на простые множители содержит лишь числа два и пять.
8. Да.
-0,01 : (-0,001)= 10 : 1 = 10.
стр. 136-137 учебника 2021-2022:
Проверочная работа №2
Повторение: проценты
1. 0,07 = 7%.
2. 28% = 0,28.
3. 1,2 = 120%.
4. 150% = 1,5.
5. 
6. 1% центнера - это 1 кг, так как 1 ц= 100 кг.
7. Да, 0,7 > 56%, так как
0,7 = 70%, а 70% > 56%.
8. Нет.
1 км = 1000 м, тогда
9 м =
км = 0,009 км = 0,9 % км.
стр. 136-137 учебника 2021-2022:

стр. 136-137 учебника 2021-2022:



стр. 136-137 учебника 2021-2022:



Вернуться к содержанию учебника