Вернуться к содержанию учебника
Вопросы и задачи на повторение. Задачи. Страница 127
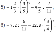
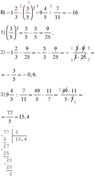
№П.9 учебника 2021-2022 (стр. 127):
Найдите значение выражения:
1) 4,2 • (12 - 12,9) - 15,6 • (6 - 5,8);
2) 0,1092 : (-0,21) - 0,9 • (-0,2) •
;
3) -108 : 75 - (2,43 + 3,9 • 0,2);
4) -4,242 : 0,7 + 3,9 • (8 - 5,4);

№П.9 учебника 2021-2022 (стр. 127):
Вспомните:
№П.9 учебника 2021-2022 (стр. 127):





Пояснения:
Порядок выполнения действий выбираем согласно следующим правилам:
1) если в выражении нет скобок и оно содержит действия первой (сложение и вычитание) и второй (умножение и деление) ступени, то сначала выполняют действия второй ступени по порядку слева направо, а потом действия первой ступени, также по прядку слева направо;
2) если в выражении есть скобки, то сначала выполняют действия в скобках, а затем за скобками, причем как в скобках, так и за скобками, сначала выполняют действия второй ступени по порядку слева направо, а потом действия первой ступени, также по прядку слева направо;
3) если в числовое выражение входит степень, то сначала выполняют возведение в степень, а потом - остальные действия, в соответствии с порядком их выполнения.
Красные числа, стоящие сверху над действиями, показывают в каком порядке нужно выполнять действия.
Правила, по которым выполнены вычисления, смотрите в подсказке.
Вернуться к содержанию учебника