Вернуться к содержанию учебника
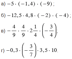
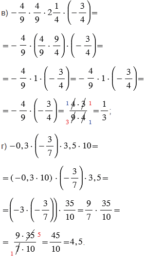
№4.394 учебника 2021-2022 (стр. 71):
Выполните действия:

№4.394 учебника 2021-2022 (стр. 71):
Вспомните:
№4.394 учебника 2021-2022 (стр. 71):


Пояснения:
Чтобы найти значение выражения, используем переместительное и сочетательное свойство умножения, т.е. меняем множителя и расставляем скобки так, чтобы вычисления были проще.
При выполнении вычислений помним: чтобы перемножить два отрицательных числа, надо перемножить их модули, т.е. произведение двух отрицательных чисел является положительным числом, тогда, если в произведении четное количество отрицательных множителе, то произведение будет положительным числом; если в произведении нечетное количество отрицательных множителей, то произведение будет отрицательным числом.
Правила, по которым выполнены вычисления с дробями, смотрите в подсказке.
Вернуться к содержанию учебника