Вернуться к содержанию учебника
№4.393 учебника 2021-2022 (стр. 71):
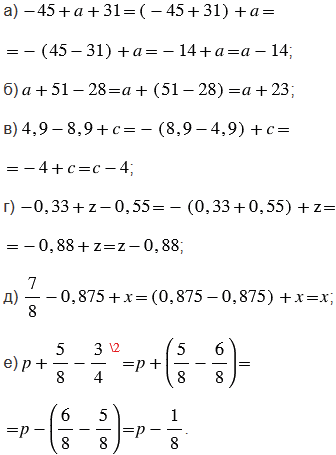
Упростите выражение:

№4.393 учебника 2021-2022 (стр. 71):
Вспомните:
№4.393 учебника 2021-2022 (стр. 71):

Пояснения:
При выполнении вычислений используем переместительное и сочетательное свойства сложения рациональных чисел, т.е. меняем компоненты местами и расставляем скобки так, чтобы вычисления были проще.
При выполнении вычислений помним:
1) чтобы сложить два числа с разными знаками, надо: найти модули слагаемых; из большего модуля вычесть меньший модуль; перед полученным числом поставить знак слагаемого с большим модулем;
2) чтобы сложить два отрицательных числа, надо: найти модули слагаемых; сложить модули слагаемых; перед полученным числом поставить знак "-";
3) сумма двух противоположных чисел равна нулю;
4) чтобы из данного числа вычесть другое, надо к уменьшаемому прибавить число, противоположное вычитаемому;
5) чтобы сложить или вычесть десятичные дроби, нужно записать числа столбиком так, чтобы запятая стояла под запятой. Затем выполнить действие не обращая внимание на запятую, а в ответе поставить запятую под запятой;
6) чтобы вычесть две дроби с разными знаменателями, надо: привести данные дроби к общему знаменателю; применить правило вычитания дробей с одинаковыми знаменателями, т.е. нужно из числителя полученного уменьшаемого вычесть числитель полученного вычитаемого, а знаменатель оставить прежним.
Вернуться к содержанию учебника