Вернуться к содержанию учебника
№4.392 учебника 2021-2022 (стр. 71):
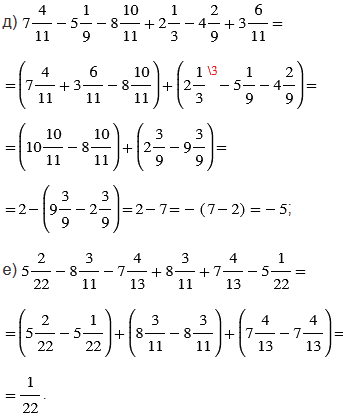
Вычислите наиболее удобным способом:
а) -36 + (-20) + (-14) + 12 + 28;
б) 43 + 15 + 92 - 43 - 15 - 92;
в) -9,6 - 7,8 + 5,3 - 4,8 + 2,5;
г) -5,4 + 7,9 + 3,2 + 5,4 - 3,2;

№4.392 учебника 2021-2022 (стр. 71):
Вспомните:
№4.392 учебника 2021-2022 (стр. 71):
а) -36 + (-20) + (-14) + 12 + 28 =
= -(36 + 20 + 14) + (12 + 28) =
= -(56 + 14) + 40 = -70 + 40 =
= -(70 - 40) = -30;
б) 43 + 15 + 92 - 43 - 15 - 92 =
= (43 - 43) + (15 - 15) + (92 - 92) = 0;
в) -9,6 - 7,8 + 5,3 - 4,8 + 2,5 =
= -9,6 - 7,8 - 4,8 + (5,3 + 2,5) =
= -9,6 - 7,8 - 4,8 + 7,8 =
= -(9,6 + 4,8) + (7,8 - 7,8) = -14,4;
г) -5,4 + 7,9 + 3,2 + 5,4 - 3,2 =
= (5,4 - 5,4) + (3,2 - 3,2) + 7,9 = 7,9;

Пояснения:
При выполнении вычислений используем переместительное и сочетательное свойства сложения рациональных чисел, т.е. меняем компоненты местами и расставляем скобки так, чтобы вычисления были проще.
При выполнении вычислений помним:
1) чтобы сложить два числа с разными знаками, надо: найти модули слагаемых; из большего модуля вычесть меньший модуль; перед полученным числом поставить знак слагаемого с большим модулем;
2) чтобы сложить два отрицательных числа, надо: найти модули слагаемых; сложить модули слагаемых; перед полученным числом поставить знак "-";
3) сумма двух противоположных чисел равна нулю;
4) чтобы из данного числа вычесть другое, надо к уменьшаемому прибавить число, противоположное вычитаемому;
5) чтобы сложить или вычесть десятичные дроби, нужно записать числа столбиком так, чтобы запятая стояла под запятой. Затем выполнить действие не обращая внимание на запятую, а в ответе поставить запятую под запятой;
6) чтобы найти сумму двух дробей с одинаковыми знаменателями, нужно сложить их числители, а знаменатель оставить прежним;
7) чтобы найти разность двух дробей с одинаковыми знаменателями, нужно из числителя уменьшаемого вычесть числитель вычитаемого, а знаменатель оставить прежним;
8) чтобы сложить (вычесть) две дроби с разными знаменателями, надо: привести данные дроби к общему знаменателю; применить правило сложения (вычитания) дробей с одинаковыми знаменателями;
9) чтобы выполнить сложение (вычитание) смешанных чисел, нужно: привести дробные части этих чисел к наименьшему общему знаменателю; отдельно выполнить сложение (вычитание) целых частей и отдельно дробных частей.
Вернуться к содержанию учебника