Вернуться к содержанию учебника
№4.317 учебника 2021-2022 (стр. 59):
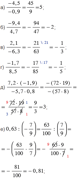
Вычислите:

№4.317 учебника 2021-2022 (стр. 59):
Вспомните:
№4.317 учебника 2021-2022 (стр. 59):


Пояснения:
Черта дроби обозначает действие деление (числитель делим на знаменатель).
При выполнении вычислений опираемся на следующие правила:
1) чтобы найти частное двух чисел с разными знаками, надо разделить модуль делимого на модуль делителя и поставить перед полученным числом знак "-";
2) чтобы найти частное двух отрицательных чисел, надо разделить модуль делимого на модуль делителя;
3) чтобы перемножить два числа с разными знаками, надо умножить их модули и перед полученным произведением поставить знак "-";
4) чтобы разделить одну дробь на другую, нужно делимое умножить на число, обратное делителю, т.е. у делителя нужно поменять местами числа, стоящие в числителе и знаменателе;
5) чтобы выполнить деление смешанных чисел, нужно записать эти числа в виде неправильных дробей, а затем воспользоваться правилом деления дробей. Чтобы преобразовать смешанное число в неправильную дробь, надо целую часть числа умножить на знаменатель дробной части и к полученному произведению прибавить числитель дробной части; эту сумму записать как числитель неправильной дроби, а в ее знаменатель записать знаменатель дробной части смешанного числа;
6) Произведением двух дробей является дробь, числитель которой равен произведению числителей, а знаменатель - произведению знаменателей.
Также, если возможно, при вычислениях выполняем сокращение.
Обратите внимание в тех произведения, где встречаются и десятичные дроби и обыкновенные дроби (смешанные числа), десятичные дроби преобразуем в обыкновенные дроби, у которых в знаменателе стоит единица с нулями (число нулей в знаменателе обыкновенной дроби равно числу знаков после запятой в десятичной дроби), затем выполняем умножение обыкновенных дробей.
Вернуться к содержанию учебника