Вернуться к содержанию учебника
№4.315 учебника 2021-2022 (стр. 58):
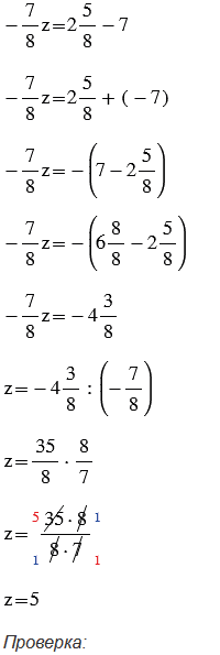
Найдите корень уравнения и выполните проверку:

№4.315 учебника 2021-2022 (стр. 58):
Вспомните:
№4.315 учебника 2021-2022 (стр. 58):








Пояснения:
В каждом из уравнений в пунктах а - ж) неизвестен множитель. Чтобы найти неизвестный множитель, нужно произведение разделить на известный множитель.
Уравнение из пункта г) сначала решаем относительно сложения, т.е. находим неизвестное слагаемое. Чтобы найти неизвестное слагаемое, нужно из суммы вычесть известное слагаемое. Затем полученное уравнение решаем относительно умножения, т.е. находим неизвестный множитель.
При выполнении вычислений помним:
1) чтобы найти частное двух чисел с разными знаками, надо разделить модуль делимого на модуль делителя и поставить перед полученным числом знак "-";
2) чтобы найти частное двух отрицательных чисел, надо разделить модуль делимого на модуль делителя;
3) чтобы из данного числа вычесть другое, надо к уменьшаемому прибавить число, противоположное вычитаемому;
4) чтобы сложить два числа с разными знаками, надо: найти модули слагаемых; из большего модуля вычесть меньший модуль; перед полученным числом поставить знак слагаемого с большим модулем.
Правила, по которым выполнены вычисления с дробями, смотрите в подсказке.
Вернуться к содержанию учебника