Задание 4.319 - ГДЗ Математика 6 класс. Виленкин, Жохов. Учебник часть 2. Страница 59

Старая и новая редакции

Вернуться к содержанию учебника

4.316 4.317 4.318 4.319 4.320 4.321 4.322

Вопрос

№4.319 учебника 2021-2022 (стр. 59):

Вычислите:

Подсказка

№4.319 учебника 2021-2022 (стр. 59):

Вспомните:

  1. Деление обыкновенных дробей.
  2. Умножение обыкновенных дробей.
  3. Смешанные числа.
  4. Неправильные дроби.
  5. Сложение положительных и отрицательных чисел.
  6. Модуль числа.
  7. Сложение и вычитание дробей с разными знаменателями.
  8. Приведение дробей к общему знаменателю.
  9. Основное свойство дроби (сокращение дробей).

Ответ

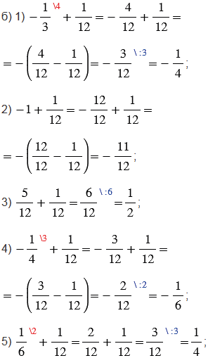
№4.319 учебника 2021-2022 (стр. 59):


Вернуться к содержанию учебника