Вернуться к содержанию учебника
№5.89 учебника 2023-2026 (стр. 89):
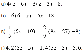
Найдите корень уравнения:

№5.89 учебника 2023-2026 (стр. 89):
Вспомните:
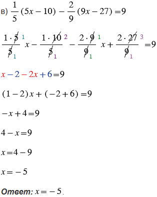
№5.89 учебника 2023-2026 (стр. 89):



Пояснения:
Обратите внимание, между числом и скобкой не стоит никаких знаков, но мы там подразумеваем знак "умножения".
Сначала каждое из уравнений упрощаем, для этого сначала раскрываем скобки. Чтобы раскрыть скобки, нужно множитель, стоящий за скобками, умножить на каждое слагаемое, стоящее в скобках (учитываем то, что вычитание можно заменить сложением с противоположным числом) . При этом помним:
Затем нужно привести (сложить) подобные слагаемые. Слагаемые, имеющие одинаковую буквенную часть, называют подобными слагаемыми. Чтобы сложить подобные слагаемые, надо сложить их коэффициенты (числа, стоящие перед буквенной частью) и полученный результат умножить на общую буквенную часть.
У нас в выражениях подобные слагаемые выделены одинаковым цветом, но можно подобные слагаемые подчеркивать одинаковым количеством черточек.
Обратите внимание, подобные слагаемые мы всегда рассматриваем с теми знаками, которые стоят перед ними.
Далее находим неизвестный компонент упрощенного уравнения. При этом помним:
1) чтобы найти неизвестное вычитаемое, нужно из уменьшаемого вычесть разность;
2) чтобы найти неизвестное уменьшаемое, нужно к разности прибавить вычитаемое;
3) чтобы найти неизвестный множитель, нужно произведение разделить на известный множитель.
Правила, по которым выполнены вычисления, смотрите в подсказке.
Вернуться к содержанию учебника