Вернуться к содержанию учебника
№5.87 учебника 2023-2026 (стр. 89):
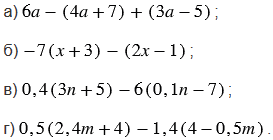
Раскройте скобки и упростите выражение:

№5.87 учебника 2023-2026 (стр. 89):
Вспомните:
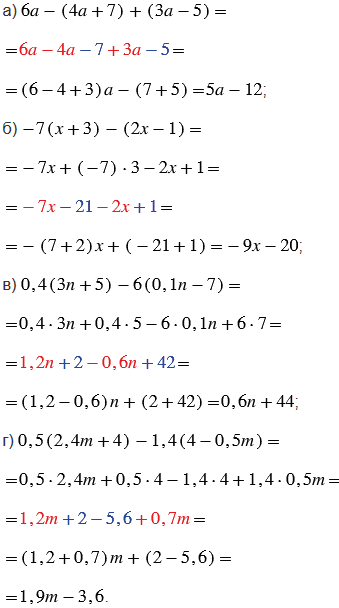
№5.87 учебника 2023-2026 (стр. 89):

Пояснения:
Чтобы раскрыть скобки, нужно множитель, стоящий за скобками, умножить на каждое слагаемое, стоящее в скобках (учитываем то, что вычитание можно заменить сложением с противоположным числом) . При этом помним:
Слагаемые, имеющие одинаковую буквенную часть, называют подобными слагаемыми. Чтобы сложить подобные слагаемые, надо сложить их коэффициенты (числа, стоящие перед буквенной частью) и полученный результат умножить на общую буквенную часть.
У нас в выражениях подобные слагаемые выделены одинаковым цветом, но можно подобные слагаемые подчеркивать одинаковым количеством черточек.
Обратите внимание, подобные слагаемые мы всегда рассматриваем с теми знаками, которые стоят перед ними.
Правила, по которым выполнены вычисления, смотрите в подсказке.
Вернуться к содержанию учебника