Задание 5.445 - ГДЗ Математика 5 класс. Виленкин, Жохов. Учебник часть 2. Страница 71

Старая и новая редакции

Вернуться к содержанию учебника

5.442 5.443 5.444 5.445 5.446 5.447 5.448

Вопрос

№5.445 учебника 2023-2026 (стр. 71):

№5.445 учебника 2021-2022 (стр. 71):

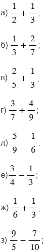
Вычислите:

         

Подсказка

№5.445 учебника 2023-2026 (стр. 71):

№5.445 учебника 2021-2022 (стр. 71):

Вспомните:

  1. Обыкновенные дроби (неправильные дроби).
  2. Сложение и вычитание дробей с разными знаменателями.
  3. Приведение дробей к общему знаменателю.
  4. Наименьшее общее кратное.
  5. Основное свойство дроби (сокращение дробей).
  6. Сложение и вычитание дробей с одинаковыми знаменателями.
  7. Деление чисел.
  8. Умножение чисел.
  9. Деление и дроби.
  10. Деление с остатком.
  11. Смешанные числа.

Ответ

№5.445 учебника 2023-2026 (стр. 71):

№5.445 учебника 2021-2022 (стр. 71):


Вернуться к содержанию учебника