Вернуться к содержанию учебника
Выберите год учебника
№2.359 учебника 2023-2024 (стр. 91):
В кинотеатр на дневной сеанс пришло 240 человек. Из них
- дети, 0,4 от количества детей - подростки, остальные - взрослые. Сколько взрослых пришло на сеанс?
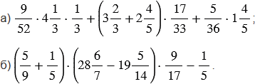
№2.359 учебника 2021-2022 (стр. 86):
Выполните действия:

№2.359 учебника 2023-2024 (стр. 91):
Вспомните:
№2.359 учебника 2021-2022 (стр. 86):
Вспомните:
№2.359 учебника 2023-2024 (стр. 91):

- дети.
2) 100 • 0,4 = 40 (ч.) - подростки.
3) 100 + 40 = 140 (ч.) - дети и подростки вместе.
4) 240 - 140 = 100 (ч.) - взрослые.
Ответ: 100 взрослых пришло на сеанс.
Пояснения:
Чтобы найти дробь от числа (десятичную или обыкновенную), нужно умножить число на эту дробь.
В кинотеатр на дневной сеанс пришло 240 человек. Из них
- дети, значит, детей пришло на сеанс:

Чтобы умножить обыкновенную дробь на натуральное число, нужно ее числитель умножить на это число, а знаменатель оставить без изменения. Чтобы вычисления были проще, не надо перемножать сразу, лучше сделать это после сокращения. Сократить дробь - значит, разделить ее числитель и знаменатель на их наибольший общий делитель. Также помним, дробь, у которой в знаменателе стоит единица, равна своему числителю.
На сеанс пришло 100 детей, 0,4 от количества детей - подростки, значит, подростков пришло на сеанс:
100 • 0,4 = 40 (ч.).
На сеанс пришло 100 детей и 40 подростков, значит, детей и подростков вместе пришло на сеанс:
100 + 40 = 140 (ч.).
Всего на сеанс пришло 240 человек, из которых 140 человек - дети и подростки, остальные - взрослые, значит, взрослых пришло на сеанс:
240 - 140 = 100 (ч.).
№2.359 учебника 2021-2022 (стр. 86):



Пояснения:
В пункте а) допущена опечатка, так как в конце учебника дан ответ
, но такой ответ не может получится.
Действиями первой ступени называют сложение и вычитание чисел, а действиями второй ступени - умножение и деление чисел.
При вычислении значений выражений порядок выполнения действий определяют следующие правила:
1. Если выражение содержит только действия одной ступени и в нем нет скобок, то действия выполняют по порядку слева направо.
2. Если в выражении нет скобок, то сначала выполняют действия второй ступени, потом - действия первой ступени.
3. Если в выражении есть скобки есть скобки, то сначала выполняют действия в скобках (учитывая правила 1 и 2).
Красные числа, стоящие сверху над действиями, показывают в каком порядке нужно выполнять действия.
Вычисления выполняем по следующим правилам:
1) чтобы найти сумму смешанных чисел, надо: дробные части этих чисел привести к наименьшему общему знаменателю; отдельно выполнить сложение целых и отдельно дробных частей; при необходимости сократить дробь (разделить числитель и знаменатель дроби на их наибольший общий делитель), выделить целую часть (когда числитель больше знаменателя) и прибавить ее к полученной целой части;
2) чтобы найти разность смешанных чисел, надо: дробные части этих чисел привести к наименьшему общему знаменателю; если дробная часть уменьшаемого больше дробной части вычитаемого, то надо отдельно вычесть целые и отдельно дробные части и результаты сложить; если дробная часть уменьшаемого меньше дробной части вычитаемого, то надо превратить ее в неправильную дробь, уменьшив на единицу целую часть, и отдельно вычесть целые и отдельно дробные части и результаты сложить; при необходимости сократить дробь (разделить числитель и знаменатель дроби на их наибольший общий делитель);
3) чтобы сложить (вычесть) две дроби с разными знаменателями, надо: привести данные дроби к общему знаменателю, а затем применить правило сложения (вычитания) дробей с одинаковыми знаменателями;
4) чтобы найти сумму (разность) двух дробей с одинаковыми знаменателями, нужно сложить (вычесть) их числители, а знаменатель оставить прежним;
5) произведением двух дробей является дробь, числитель которой равен произведению числителей, а знаменатель - произведению знаменателей;
6) чтобы выполнить умножение смешанных чисел, нужно записать эти числа в виде неправильных дробей, а затем воспользоваться правилом умножения дробей. Чтобы преобразовать смешанное число в неправильную дробь, надо целую часть числа умножить на знаменатель дробной части и к полученному произведению прибавить числитель дробной части; эту сумму записать как числитель неправильной дроби, а в ее знаменатель записать знаменатель дробной части смешанного числа.
При выполнении умножения дробей, чтобы вычисления были проще, не надо перемножать сразу, лучше сделать это после сокращения. Сократить дробь - значит, разделить ее числитель и знаменатель на одно и то же число (наибольший общий делитель).
Если при вычислениях получилась неправильная дробь (числитель больше знаменателя), ее нужно преобразовать в смешанное число. Чтобы неправильную дробь, числитель которой нацело не делится на знаменатель, преобразовать в смешанное число, надо числитель разделить на знаменатель; полученное неполное частное записать как целую часть смешанного числа, а остаток - как числитель его дробной части.
Вернуться к содержанию учебника