Вернуться к содержанию учебника
Выберите год учебника
№2.354 учебника 2023-2026 (стр. 91):
Угол А равен 400, а угол В составляет 135% от угла А. Найдите градусную меру суммы углов А и В.
№2.354 учебника 2021-2022 (стр. 86):
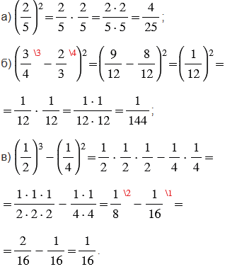
Вычислите:

№2.354 учебника 2023-2026 (стр. 91):
Вспомните:
№2.354 учебника 2021-2022 (стр. 86):
Вспомните:
№2.354 учебника 2023-2026 (стр. 91):

135% = 1,35
1) 400 • 1,35 = 540 - угол В.
| × | 1 | 3 | 5 | |
| 4 | 0 | |||
| 5 | 4 | 0 | 0 |
2) 400 + 540 = 940
Ответ: суммы углов А и В равна 940.
Пояснения:
Чтобы найти несколько процентов от числа, нужно сначала перевести проценты в десятичную дробь, а затем умножить число на полученную десятичную дробь. Чтобы проценты записать в виде десятичной дроби, нужно число стоящее перед знаком % разделить на 100.
Угол А равен 400, а угол В составляет 135% от угла А.
135% = 135 : 100 = 1,35.
Значит, градусная мера угла В равна:
400 • 1,35 = 540.
Градусные меры углов А и В соответственно равны 400 и 540, значит, сумма их градусных мер:
400 + 540 = 940.
№2.354 учебника 2021-2022 (стр. 86):

Пояснения:
Чтобы возвести число в степень, нужно умножить это число само на себя столько раз, какова его степень.
Если выражение содержит число степени, то сначала нужно возвести это число в степень, а затем выполнить остальные действия.
Если выражение содержит действие в степени, то сначала нужно выполнить действие под степенью, затем возвести полученный результат в степень и выполнить оставшиеся действия.
Произведением двух дробей является дробь, числитель которой равен произведению числителей, а знаменатель - произведению знаменателей.
Чтобы вычесть две дроби с разными знаменателями, надо: привести данные дроби к общему знаменателю (наименьшее общее кратное знаменателей вычитаемых дробей), используя основное свойство дроби, а затем применить правило вычитания дробей с одинаковыми знаменателями (чтобы найти разность двух дробей с одинаковыми знаменателями, нужно из числителя уменьшаемого вычесть числитель вычитаемого, а знаменатель оставить прежним).
Вернуться к содержанию учебника