Вернуться к содержанию учебника
Выберите год учебника
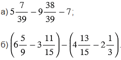
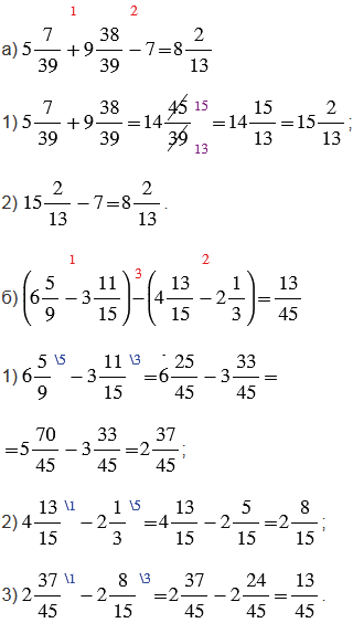
№2.292 учебника 2023-2026 (стр. 84):
Найдите значение выражения:

№2.292 учебника 2021-2022 (стр. 78):
Двое друзей вышли навстречу друг другу и встретились в условном месте. Какое расстояние было изначально между ними, если первый шел
ч со скоростью
км/ч, а второй -
ч со скоростью
км/ч?
№2.292 учебника 2023-2026 (стр. 84):
Вспомните:
№2.292 учебника 2021-2022 (стр. 78):
Вспомните:
№2.292 учебника 2023-2026 (стр. 84):

Пояснения:
Действиями первой ступени называют сложение и вычитание чисел, а действиями второй ступени - умножение и деление чисел.
При вычислении значений выражений порядок выполнения действий определяют следующие правила:
1. Если выражение содержит только действия одной ступени и в нем нет скобок, то действия выполняют по порядку слева направо.
2. Если в выражении нет скобок, то сначала выполняют действия второй ступени, потом - действия первой ступени.
3. Если в выражении есть скобки есть скобки, то сначала выполняют действия в скобках (учитывая правила 1 и 2).
Красные числа, стоящие сверху над действиями, показывают в каком порядке нужно выполнять действия.
Чтобы найти сумму смешанных чисел, надо:
1) дробные части этих чисел привести к наименьшему общему знаменателю;
2) отдельно выполнить сложение целых и отдельно дробных частей;
3) при необходимости сократить дробь (разделить числитель и знаменатель дроби на их наибольший общий делитель), выделить целую часть (когда числитель больше знаменателя) и прибавить ее к полученной целой части.
Чтобы найти разность смешанных чисел, надо:
1) дробные части этих чисел привести к наименьшему общему знаменателю;
2) если дробная часть уменьшаемого больше дробной части вычитаемого, то надо отдельно вычесть целые и отдельно дробные части и результаты сложить;
3) если дробная часть уменьшаемого меньше дробной части вычитаемого, то надо превратить ее в неправильную дробь, уменьшив на единицу целую часть, и выполнить вычитание по пункту 2;
4) при необходимости сократить дробь (разделить числитель и знаменатель дроби на их наибольший общий делитель).
№2.292 учебника 2021-2022 (стр. 78):



Правила, по которым выполняем вычисления:
1) чтобы выполнить умножение смешанных чисел, нужно записать эти числа в виде неправильных дробей (чтобы преобразовать смешанное число в неправильную дробь, надо целую часть числа умножить на знаменатель дробной части и к полученному произведению прибавить числитель дробной части; эту сумму записать как числитель неправильной дроби, а в ее знаменатель записать знаменатель дробной части смешанного числа), а затем воспользоваться правилом умножения дробей, если в результате умножения дробь получается неправильной, нужно выделить целую часть. Чтобы неправильную дробь, числитель которой нацело не делится на знаменатель, преобразовать в смешанное число, надо числитель разделить на знаменатель; полученное неполное частное записать как целую часть смешанного числа, а остаток - как числитель его дробной части.
2) произведением двух дробей является дробь, числитель которой равен произведению числителей, а знаменатель - произведению знаменателей;
3) чтобы найти сумму смешанных чисел, надо: дробные части этих чисел привести к наименьшему общему знаменателю; отдельно выполнить сложение целых и отдельно дробных частей;
4) чтобы найти сумму двух дробей с одинаковыми знаменателями, нужно сложить их числители, а знаменатель оставить прежним.
Если сложно найти наименьший общий знаменатель при сложении дробей, можно использовать разложение на простые множители:
16 = 2222,
30 = 235.
НОК(16; 30) = 222235 = 240 - наименьший общий знаменатель дробей, знаменатели которых 16 и 30.
Вернуться к содержанию учебника