Вернуться к содержанию учебника
Выберите год учебника
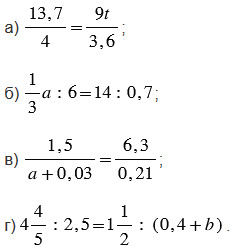
№3.45 учебника 2023-2024 (стр. 128):
Решите пропорцию:

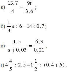
№3.45 учебника 2021-2022 (стр. 128):
Решите уравнение:

№3.45 учебника 2023-2024 (стр. 128):
№3.45 учебника 2021-2022 (стр. 128):
Вспомните:
№3.45 учебника 2023-2024 (стр. 128):
№3.45 учебника 2021-2022 (стр. 128):




Пояснения:
Пропорция - это равенство двух отношений.
В пропорции
числа
и
называют крайними членами, а числа
и
- средними членами пропорции.
Чтобы решить уравнение, используем основное свойство пропорции:
Произведение крайних членов пропорции равно произведению ее средних членов:
.
Также помним:
В дробном выражении, у которого в числителе и знаменателе стоят десятичные дроби, переносим у десятичных дробей запятую вправо так, чтобы все числа стали натуральными, при этом количество знаков, на которые перенесена запятая в числителе и в знаменателе дробного выражения должно быть одинаковым, соответственно там, где знаков после запятой меньше, можно на конце дописывать нули, либо приписывать множители 10, 100, 1000, в зависимости от того на сколько знаков получилось меньше.
Чтобы найти частное двух дробей, надо делимое умножить на число, обратное делителю. При этом помним, обратным числу
является число
.
Чтобы вычисления были проще, не надо перемножать сразу числа в числителе и в знаменателе, лучше сделать это после сокращения. Сократить дробь - значит, разделить ее числитель и знаменатель на одно и то же число (наибольший общий делитель).
Чтобы вычесть две дроби с разными знаменателями, надо, используя основное свойство дроби, привести данные дроби к общему знаменателю, а затем вычесть их числители, а знаменатель оставить прежним.
Вернуться к содержанию учебника