Вернуться к содержанию учебника
№3.41 учебника 2023-2026 (стр. 127):
№3.41 учебника 2021-2022 (стр. 127):
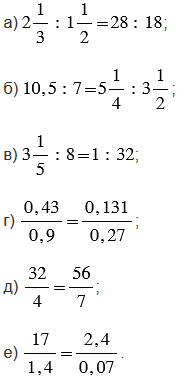
Проверьте, верно ли равенство, используя основное свойство пропорции:

№3.41 учебника 2023-2026 (стр. 127):
№3.41 учебника 2021-2022 (стр. 127):
Вспомните:
№3.41 учебника 2023-2026 (стр. 127):
№3.41 учебника 2021-2022 (стр. 127):

| - | 1 | 4 | 7 | 4 | ||||
| 1 | 2 | 3 | 6 | |||||
| - | 2 | 7 | ||||||
| 2 | 4 | |||||||
| 3 | - | о | с | т | . |



Пояснения:
Пропорция - это равенство двух отношений.
В пропорции
числа
и
называют крайними членами, а числа
и
- средними членами пропорции.
Основное свойство пропорции:
Произведение крайних членов пропорции равно произведению ее средних членов:
.
Произведением двух дробей является дробь, числитель которой равен произведению числителей, а знаменатель - произведению знаменателей.
Чтобы умножить обыкновенную дробь на натуральное число, нужно ее числитель умножить на это число, а знаменатель оставить без изменения.
Чтобы выполнить умножение смешанных чисел, нужно записать эти числа в виде неправильных дробей, а затем воспользоваться правилом умножения дробей. Чтобы преобразовать смешанное число в неправильную дробь, надо целую часть числа умножить на знаменатель дробной части и к полученному произведению прибавить числитель дробной части; эту сумму записать как числитель неправильной дроби, а в ее знаменатель записать знаменатель дробной части смешанного числа.
При выполнении умножения дробей, чтобы вычисления были проще, не надо перемножать сразу, лучше сделать это после сокращения. Сократить дробь - значит, разделить ее числитель и знаменатель на одно и то же число (наибольший общий делитель).
Если при вычислениях получилась неправильная дробь (числитель больше знаменателя), ее нужно преобразовать в смешанное число. Чтобы неправильную дробь, числитель которой нацело не делится на знаменатель, преобразовать в смешанное число, надо числитель разделить на знаменатель; полученное неполное частное записать как целую часть смешанного числа, а остаток - как числитель его дробной части.
Чтобы перемножить две десятичные дроби, надо: записать дроби в столбик, как два натуральных числа не обращая внимание на запятые; затем умножить их как натуральные числа, не обращая внимание на запятые и в полученном произведении отделить запятой справа столько цифр, сколько их стоит после запятых в обоих множителях вместе.
Вернуться к содержанию учебника