Вернуться к содержанию учебника
Проверьте себя. Страница 105
Проверочная работа №2 Проверочная работа Проверочная работа №1 Проверочная работа №2 Проверочная работа №1 Проверочная работа №2 Проверочная работа
№Проверочная работа №2 учебника 2021-2022 (стр. 105):
Найдите частное:
1. Семи и одной третьей.
2. Трех седьмых и двух.
3. Одной пятой и двух третьих.
4. Четырех девятых и четырех.
5. Шести целых трех пятых и трех.
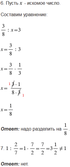
6. На какое число надо разделить три восьмых, чтобы получить три?
Верно ли высказывание (ответьте да или нет)?
7. Частное единицы и двух седьмых равно единице.
8. Если велосипедист проехал пять километров за две пятых часа, то его средняя скорость была равна двенадцати целым пяти десятым километра в час.
№Проверочная работа №2 учебника 2021-2022 (стр. 105):
Вспомните:
№Проверочная работа №2 учебника 2021-2022 (стр. 105):



Пояснения:
Чтобы найти частное двух дробей, надо делимое умножить на число, обратное делителю. При этом помним:
является число
;
- натуральное число, то обратным ему является число
.Чтобы выполнить деление смешанных чисел, нужно записать эти числа в виде неправильных дробей, а затем воспользоваться правилом деления дробей. Чтобы преобразовать смешанное число в неправильную дробь, надо целую часть числа умножить на знаменатель дробной части и к полученному произведению прибавить числитель дробной части; эту сумму записать как числитель неправильной дроби, а в ее знаменатель записать знаменатель дробной части смешанного числа.
Произведением двух дробей является дробь, числитель которой равен произведению числителей, а знаменатель - произведению знаменателей.
Чтобы умножить обыкновенную дробь на натуральное число, нужно ее числитель умножить на это число, а знаменатель оставить без изменения.
При выполнении умножения дробей, чтобы вычисления были проще, не надо перемножать сразу, лучше сделать это после сокращения. Сократить дробь - значит, разделить ее числитель и знаменатель на одно и то же число (наибольший общий делитель).
Если при вычислениях получилась неправильная дробь (числитель больше знаменателя), преобразуем ее в смешанное число. Чтобы неправильную дробь, числитель которой нацело не делится на знаменатель, преобразовать в смешанное число, надо числитель разделить на знаменатель; полученное неполное частное записать как целую часть смешанного числа, а остаток - как числитель его дробной части.
6. Чтобы найти неизвестный делитель, нужно делимое разделить на частное.
8. Чтобы найти среднюю скорость движения, нужно все расстояние разделить на все время.
Вернуться к содержанию учебника