Вернуться к содержанию учебника
Проверьте себя. Страница 105
Проверочная работа №1 Проверочная работа №2 Проверочная работа Проверочная работа №1 Проверочная работа №2 Проверочная работа №1 Проверочная работа №2
№Проверочная работа №1 учебника 2021-2022 (стр. 105):
1. Сократите дробь девятнадцать пятьдесят седьмых.
2. Представьте в виде неправильной дроби число две целых одна девятая.
3. Запишите число, обратное одной целой пяти шестым.
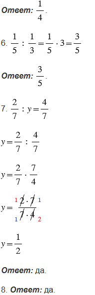
Найдите частное:
4. Семи восьмых и семи.
5. Трех и двенадцати.
6. Одной пятой и одной третьей.
Верно ли высказывание (ответьте да или нет)?
7. Корень уравнения
- число одна вторая.
8. Если некоторое число больше обратного к нему числа, то это число больше единицы.
№Проверочная работа №1 учебника 2021-2022 (стр. 105):
Вспомните:
№Проверочная работа №1 учебника 2021-2022 (стр. 105):





Вернуться к содержанию учебника