Вернуться к содержанию учебника
Выберите год учебника
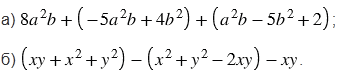
№612 учебника 2023-2026 (стр. 134):
Упростите выражение:

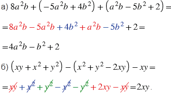
№612 учебника 2013-2022 (стр. 134):
Представьте выражение в виде одночлена:

№612 учебника 2023-2026 (стр. 134):
Вспомните:
№612 учебника 2013-2022 (стр. 134):
Вспомните:
№612 учебника 2023-2026 (стр. 134):

Пояснения:
Чтобы упростить выражения, нужно раскрыть скобки и привести подобные слагаемые (в решении выделены одинаковым цветом). Подобные слагаемые, которые в сумме дают ноль, вычеркнуты.
При раскрытии скобок помним:
1) если перед скобками стоит знак "+", то можно опустить скобки и этот знак "+", сохранив знаки слагаемых, стоящих в скобках. Если первое слагаемое в скобках записано без знака, то его надо записать со знаком "+";
2) Если перед скобками стоит знак " - ", то можно опустить скобки и этот знак "-", изменив знаки слагаемых, стоящих в скобках на противоположные. Если первое слагаемое в скобках записано без знака, то его надо записать со знаком " - ".
№612 учебника 2013-2022 (стр. 134):


Пояснения:
При возведении отрицательного числа в степень с чётным показателем получаем положительное число, а при возведении отрицательного числа в степень с нечётным показателем получаем отрицательное число. При этом обращаем внимание на то, что на минус, стоящий перед скобками, показатель степени не влияет, на минус, стоящий в скобках, влияет только тот показатель степени, который стоит за скобками.
При возведении произведения в степень каждый множитель возводят в эту степень и полученные результаты перемножают.
При возведении степени в степень основание оставляют тем же, а показатели перемножают.
При умножении степеней с одинаковыми основаниями основание оставляют прежним, а показатели степеней складывают.
Вернуться к содержанию учебника