Вернуться к содержанию учебника
Вопросы и задачи на повторение. Задачи. Страница 135
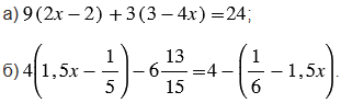
№П.100 учебника 2021-2022 (стр. 135):
Решите уравнение:

№П.100 учебника 2021-2022 (стр. 135):
Вспомните:
№П.100 учебника 2021-2022 (стр. 135):


Пояснения:
В каждом уравнении сначала раскрываем скобки. Чтобы раскрыть скобки, умножаем число, стоящее за скобками, на каждый компонент в скобках.
Далее, учитывая то, что корни уравнения не изменятся, если какое-нибудь слагаемое перенести из одной части уравнения в другую, изменив при этом его знак, переносим компоненты, содержащие переменную, из правой части уравнения в левую, а компоненты без переменной - в правую.
После в левой части уравнения приводим подобные слагаемые, а в правой выполняем вычисления. Подобные слагаемые - это слагаемые, которые имеют одинаковую буквенную часть, т.е. подобные слагаемые могут отличаться только коэффициентами. Чтобы сложить (или привести) подобные слагаемые, надо сложить их коэффициенты и полученный результат умножить на общую буквенную часть.
Затем находим неизвестный множитель. Чтобы найти неизвестный множитель, нужно произведение разделить на известный множитель.
Правила, по которым выполнены вычисления, смотрите в подсказке.
Вернуться к содержанию учебника