Вернуться к содержанию учебника
№4.223 учебника 2021-2022 (стр. 45):
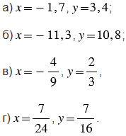
Вычислите сумму
при:

№4.223 учебника 2021-2022 (стр. 45):
Вспомните:
№4.223 учебника 2021-2022 (стр. 45):

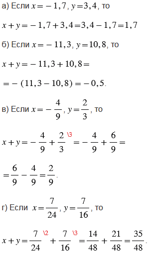
Пояснения:
Чтобы найти значение буквенного выражения при заданных числовых значениях переменных, входящих в это выражение, нужно вместо переменных (букв) подставить числа, им соответствующие и выполнить вычисления.
Чтобы сложить два числа с разными знаками, надо: найти модули слагаемых (модуль числа принимает только неотрицательные значения); из большего модуля вычесть меньший модуль; перед полученным числом поставить знак слагаемого с большим модулем (обычно сначала определяют и записывают знак суммы, а потом в скобках находят разность модулей, если сумма в итоге получается положительной, то скобки можно не ставить).
Правила, по которым выполнены вычисления с дробями, смотрите в подсказке.
Вернуться к содержанию учебника