Вернуться к содержанию учебника
№5.28 учебника 2023-2026 (стр. 80):
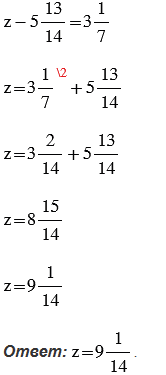
Найдите корень уравнения:

№5.28 учебника 2023-2026 (стр. 80):
Вспомните:
№5.28 учебника 2023-2026 (стр. 80):





Пояснения:
Уравнение - это равенство, содержащее букву, значение которой надо найти. Корень уравнения - это число, которое при подстановке вместо буквы обращает уравнение в верное числовое равенство. Решить уравнение - значит найти все его корни или показать, что их нет вообще.
При решении уравнений сначала раскрываем скобки в левой его части. При этом опираемся на следующие правила:
Затем в левой части уравнения применяем переместительное и сочетательное свойства сложения, то есть группируем слагаемые так, чтобы можно было упростить выражение в левой части уравнения.
Также при решении уравнений помним:
1) чтобы найти неизвестное слагаемое, нужно из суммы вычесть известное слагаемое;
2) чтобы найти неизвестное уменьшаемое, нужно к разности прибавить вычитаемое;
3) чтобы найти неизвестное вычитаемое, нужно из уменьшаемого вычесть разность.
Вернуться к содержанию учебника