Вернуться к содержанию учебника
№5.15 учебника 2023-2026 (стр. 79):
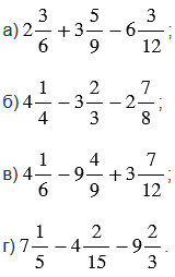
Найдите значение выражения:

№5.15 учебника 2023-2026 (стр. 79):
Вспомните:
№5.15 учебника 2023-2026 (стр. 79):



Пояснения:
Сначала в данных выражениях находим сумму чисел с одинаковыми знаками, то есть либо сумму положительных чисел, либо противоположную сумму отрицательных чисел. Затем снова находим противоположную сумму для полученных слагаемых. Чтобы найти сумму противоположную данной, надо записать данную сумму в скобки, изменив знак каждого слагаемого на противоположный, и перед скобками поставить знак минус.
Правила, по которым выполнены вычисления, смотрите в подсказке.
Вернуться к содержанию учебника