Вернуться к содержанию учебника
№3.146 учебника 2023-2026 (стр. 147):
№3.146 учебника 2021-2022 (стр. 147):
Вычислите:

№3.146 учебника 2023-2026 (стр. 147):
№3.146 учебника 2021-2022 (стр. 147):
Вспомните:
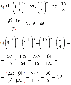
№3.146 учебника 2023-2026 (стр. 147):
№3.146 учебника 2021-2022 (стр. 147):


Пояснения:
Возведение числа в степень - это пятое арифметическое действие, поэтому стоит учитывать, что:
Если в числовое выражение входит степень, то сначала выполняют возведение в степень, а потом - остальные действия, в соответствии с порядком их выполнения.
Правила, по которым выполнены вычисления:
1) произведением двух дробей является дробь, числитель которой равен произведению числителей, а знаменатель - произведению знаменателей;
2) чтобы умножить обыкновенную дробь на натуральное число, нужно ее числитель умножить на это число, а знаменатель оставить без изменения;
3) чтобы выполнить умножение смешанных чисел, нужно записать эти числа в виде неправильных дробей, а затем воспользоваться правилом умножения дробей;
4) чтобы найти частное двух дробей, надо делимое умножить на число, обратное делителю. При этом помним, обратным числу
является число
;
5) чтобы выполнить деление смешанных чисел, нужно записать эти числа в виде неправильных дробей, а затем воспользоваться правилом деления дробей;
6) чтобы возвести смешанное число в степень, его сначала преобразуют в неправильную дробь, а затем эту неправильную дробь умножить саму на себя столько раз какова степень;
7) чтобы умножить десятичную дробь на натуральное число, надо: умножить их как натуральные числа, не обращая внимание на запятую и в полученном произведении отделить запятой справа столько цифр, сколько их стоит после запятой у умножаемой дроби;
8) чтобы сложить или вычесть десятичные дроби, нужно записать числа столбиком так, чтобы запятая стояла под запятой. Затем выполнить действие не обращая внимание на запятую, а в ответе поставить запятую под запятой.
Чтобы преобразовать смешанное число в неправильную дробь, надо целую часть числа умножить на знаменатель дробной части и к полученному произведению прибавить числитель дробной части; эту сумму записать как числитель неправильной дроби, а в ее знаменатель записать знаменатель дробной части смешанного числа.
При выполнении умножения дробей, чтобы вычисления были проще, не надо перемножать сразу, лучше сделать это после сокращения. Сократить дробь - значит, разделить ее числитель и знаменатель на одно и то же число (наибольший общий делитель).
Также помним то, что дробь, у которой в знаменателе стоит единица, равна своему числителю. И то, что черту дроби можно заменить делением ( числитель разделить на знаменатель).
Вернуться к содержанию учебника