Вернуться к содержанию учебника
Проверьте себя. Страница 129
№Проверочная работа учебника 2021-2022 (стр. 129):
Запишите пропорцию:
1. Число восемнадцать так относится к четырем, как двадцать семь относится к шести.
2. Отношение трех к пяти равно отношению двух к семи.
3. Запишите средние члены пропорции 1,5 : 2 = 4,5 : 6.
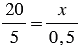
4. Запишите крайние члены пропорции
.
5. Определите, верна ли пропорция в задании 3.
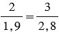
6. Определите, верна ли пропорция в задании 4.
Верно ли высказывание (ответьте да или нет)?
7. Корень уравнения
- число два.
8. Из любых четырех натуральных чисел можно составить пропорцию.
№Проверочная работа учебника 2021-2022 (стр. 129):
Вспомните:
№Проверочная работа учебника 2021-2022 (стр. 129):



Вернуться к содержанию учебника