Вернуться к содержанию учебника
№2.559 учебника 2021-2022 (стр. 112):
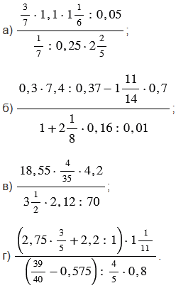
Вычислите значение дробного выражения:

№2.559 учебника 2021-2022 (стр. 112):
Вспомните:
№2.559 учебника 2021-2022 (стр. 112):
|
|

|
|


|
|
|||||||||||||||||||||||||||||||||||||||||||||||||||||||||||||||||||||||||||||||||||||||||||
|
|
Пояснения:
Дробным выражением называют частное двух чисел или выражений, в котором знак деления обозначен чертой.
Выражение, стоящее над чертой, называют числителем, а выражение, стоящее под чертой - знаменателем дробного выражения. Числителем и знаменателем дробного выражения могут быть любые числа, а также числовые или буквенные выражения.
Чтобы найти значение дробного выражения, сначала выполняют действия в числителе, а затем действия в знаменателе. Последним выполняется действие деления: выражение в числителе делится на выражение в знаменателе.
Действиями первой ступени называют сложение и вычитание чисел, а действиями второй ступени - умножение и деление чисел.
При вычислении значений выражений в числителе и знаменателе дробного выражения порядок выполнения действий определяют следующие правила:
1. Если выражение содержит только действия одной ступени и в нем нет скобок, то действия выполняют по порядку слева направо.
2. Если в выражении нет скобок, то сначала выполняют действия второй ступени, потом - действия первой ступени.
3. Если в выражении есть скобки есть скобки, то сначала выполняют действия в скобках (учитывая правила 1 и 2).
Правила, по которым выполнены вычисления, смотри в подсказке.
Вернуться к содержанию учебника