Вернуться к содержанию учебника
Выберите год учебника
№2.523 учебника 2023-2024 (стр. 113):
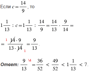
Сравните значения выражения
при
.
№2.523 учебника 2021-2022 (стр. 107):
Три бригады ремонтировали дорогу. Первая бригада отремонтировала 0,4 дороги, вторая - 0,6 остатка, а третья - остальные 11,52 км. Найдите длину дороги.
№2.523 учебника 2023-2024 (стр. 113):
Вспомните:
№2.523 учебника 2021-2022 (стр. 107):
№2.523 учебника 2023-2024 (стр. 113):


Пояснения:
Чтобы найти значение буквенного выражения при заданном числовом значении переменной, входящей в это выражение, нужно в это выражение вместо переменной (буквы) подставить, соответствующие ей, числа и выполнить вычисления.
Правила, по которым выполнены вычисления:
1) чтобы найти частное двух дробей, надо делимое умножить на число, обратное делителю. При этом помним, обратным числу
является число
;
2) чтобы выполнить деление смешанных чисел, нужно записать эти числа в виде неправильных дробей, а затем воспользоваться правилом деления дробей;
3) произведением двух дробей является дробь, числитель которой равен произведению числителей, а знаменатель - произведению знаменателей.
Чтобы преобразовать смешанное число в неправильную дробь, надо целую часть числа умножить на знаменатель дробной части и к полученному произведению прибавить числитель дробной части; эту сумму записать как числитель неправильной дроби, а в ее знаменатель записать знаменатель дробной части смешанного числа.
При выполнении умножения дробей, чтобы вычисления были проще, не надо перемножать сразу, лучше сделать это после сокращения. Сократить дробь - значит, разделить ее числитель и знаменатель на одно и то же число (наибольший общий делитель).
Чтобы сравнить две дроби с разными знаменателями, сначала нужно привести эти дроби к общему знаменателю, а затем сравнить полученные дроби, учитывая то, что из двух дробей с одинаковыми знаменателями больше та, у которой числитель больше, и меньше та, у которой числитель меньше.
Смешанное число всегда больше правильной дроби, то есть дроби, у которой числитель меньше знаменателя.
№2.523 учебника 2021-2022 (стр. 107):
1) 1 - 0,4 = 0,6 - всей дороги отремонтировали вторая и третья бригады вместе (остаток).
2) 0,6•0,6=0,36 - всей дороги отремонтировала вторая бригада.
3) 0,6 - 0,36 = 0,24 - всей дороги отремонтировала третья бригада.
4) 11,52:0,24 = 1152:24 = 48 (км) - длина дороги.
| - | 1 | 1 | 5 | 2 | 2 | 4 | |||||||||
| 9 | 6 | 4 | 8 | ||||||||||||
| - | 1 | 9 | 2 | ||||||||||||
| 1 | 9 | 2 | |||||||||||||
| 0 |
Ответ: длина дороги 48 км.
Пояснения:
Нам известно, что величина, от которой вычисляются проценты составляет 100 своих сотых долей, т.е. 100 %, то есть вся дорога равна 100%=100:100=1. По условию первая бригада отремонтировала 0,4 дороги, тогда вторая и третья бригада отремонтировала 1-0,4=0,6 - всей дороги.
То есть остаток дороги составил 0,6 всей дороги. По условию вторая бригада отремонтировала 0,6 остатка дороги, а чтобы найти дробь от числа, нужно умножить число на эту дробь, получаем, что вторая бригада отремонтировала 0 ,6•0,6=0,36 - всей дороги.
Так как мы нашли, что вторая и третья бригада вместе отремонтировали 1-0,4=0,6 - всей дороги, 0,36 из которых отремонтировала вторая бригада, мы получаем, что третья бригада отремонтировала 0,6 - 0,36 = 0,24 - всей дороги.
По условию третья бригада отремонтировала 11,52 км. То есть 11,52 км составляют 0,24 всей дороги. Чтобы найти число по значению, соответствующему данной дроби, надо это значение разделить на дробь, тогда получаем, что длина всей дороги равна 11,52:0,24=1152:24=48 км.
Вернуться к содержанию учебника