Вернуться к содержанию учебника
Выберите год учебника
№2.468 учебника 2023-2026 (стр. 105):
Расход бензина в автомобиле при пробеге по городу в
раза больше, чем при пробеге по скоростной трассе. На сколько километров хватит полного бака бензина объемом 40 л при движении по городу, если при движении по скоростной трассе на 400 км пути расходуется
бака бензина?
№2.468 учебника 2021-2022 (стр. 101):
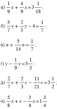
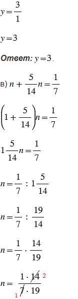
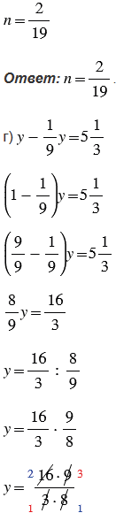
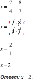
Найдите корень уравнения:

№2.468 учебника 2023-2026 (стр. 105):
Вспомните:
№2.468 учебника 2021-2022 (стр. 101):
Вспомните:
№2.468 учебника 2023-2026 (стр. 105):





№2.468 учебника 2021-2022 (стр. 101):







Пояснения:
Равенство, содержащее неизвестное число, обозначенное буквой называют уравнением.
Корнем уравнения называют значение буквы, при котором уравнение становится верным числовым равенством.
Решить уравнение - значит найти все его корни (или убедиться, что это уравнение не имеет корня).
Чтобы найти неизвестное уменьшаемое, нужно к разности прибавить вычитаемое.
Чтобы найти неизвестный множитель, нужно произведение разделить на известный множитель.
В каждом уравнении сначала упрощаем левую часть уравнения, используя распределительное свойство умножения (выносим одинаковый множитель (букву) за скобки и выполняем вычисления в скобках), затем выражаем из полученного уравнения неизвестную по правилам указанным выше.
Правила, по которым выполняем вычисления:
1) чтобы найти частное двух дробей, надо делимое умножить на число, обратное делителю. При этом помним, обратным числу
является число
;
2) произведением двух дробей является дробь, числитель которой равен произведению числителей, а знаменатель - произведению знаменателей;
3) чтобы выполнить деление смешанных чисел, нужно записать эти числа в виде неправильных дробей, а затем воспользоваться правилом деления дробей;
4) чтобы сложить (вычесть) две дроби с разными знаменателями, надо: привести данные дроби к общему знаменателю, а затем применить правило сложения (вычитания) дробей с одинаковыми знаменателями;
5) чтобы найти сумму (разность) двух дробей с одинаковыми знаменателями, нужно сложить (вычесть) их числители, а знаменатель оставить прежним;
6) чтобы из единицы вычесть правильную дробь, нужно единицу представить в виде неправильной дроби с одинаковыми числителем и знаменателем, равными знаменателю вычитаемой дроби.
Чтобы преобразовать смешанное число в неправильную дробь, надо целую часть числа умножить на знаменатель дробной части и к полученному произведению прибавить числитель дробной части; эту сумму записать как числитель неправильной дроби, а в ее знаменатель записать знаменатель дробной части смешанного числа.
При выполнении умножения обыкновенных дробей, чтобы вычисления были проще, не надо перемножать сразу, лучше сделать это после сокращения. Сократить дробь - значит, разделить ее числитель и знаменатель на одно и то же число (наибольший общий делитель).
Если при вычислениях получилась неправильная дробь (числитель больше знаменателя), ее нужно преобразовать в смешанное число. Чтобы неправильную дробь, числитель которой нацело не делится на знаменатель, преобразовать в смешанное число, надо числитель разделить на знаменатель; полученное неполное частное записать как целую часть смешанного числа, а остаток - как числитель его дробной части.
Вернуться к содержанию учебника