Вернуться к содержанию учебника
Выберите год учебника
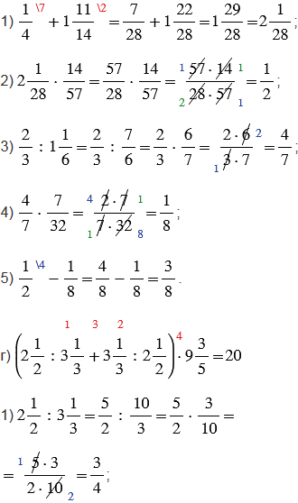
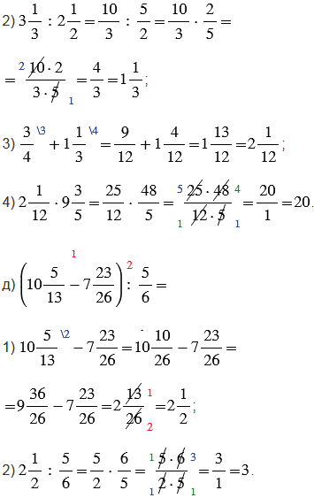
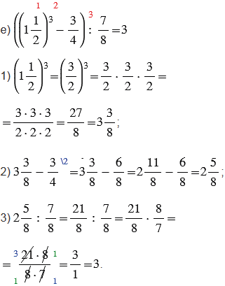
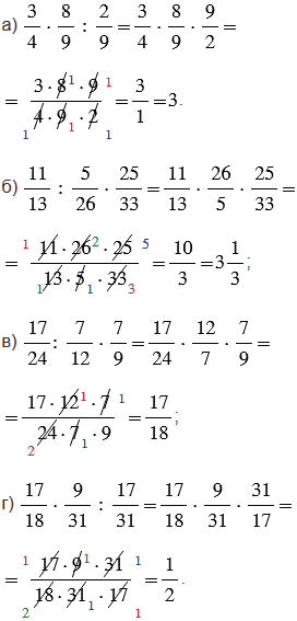
№2.463 учебника 2023-2026 (стр. 105):
Найдите значение выражения:

№2.463 учебника 2021-2022 (стр. 101):
Найдите значение выражения:

№2.463 учебника 2023-2026 (стр. 105):
Вспомните:
№2.463 учебника 2021-2022 (стр. 101):
Вспомните:
№2.463 учебника 2023-2026 (стр. 105):





Пояснения:
Действиями первой ступени называют сложение и вычитание чисел, а действиями второй ступени - умножение и деление чисел.
При вычислении значений выражений порядок выполнения действий определяют следующие правила:
1. Если выражение содержит только действия одной ступени и в нем нет скобок, то действия выполняют по порядку слева направо.
2. Если в выражении нет скобок, то сначала выполняют действия второй ступени, потом - действия первой ступени.
3. Если в выражении есть скобки есть скобки, то сначала выполняют действия в скобках (учитывая правила 1 и 2).
Возведение числа в степень - это пятое арифметическое действие, поэтому стоит учитывать, что:
Если в числовое выражение входит степень, то сначала выполняют возведение в степень, а потом - остальные действия, в соответствии с порядком их выполнения.
Красные числа, стоящие сверху над действиями, показывают в каком порядке нужно выполнять действия.
Правила, по которым выполняем вычисления:
1) чтобы найти сумму смешанных чисел, надо: дробные части этих чисел привести к наименьшему общему знаменателю; отдельно выполнить сложение целых и отдельно дробных частей; при необходимости сократить дробь (разделить числитель и знаменатель дроби на их наибольший общий делитель), выделить целую часть (когда числитель больше знаменателя) и прибавить ее к полученной целой части;
2) чтобы найти разность смешанных чисел, надо: дробные части этих чисел привести к наименьшему общему знаменателю; если дробная часть уменьшаемого больше дробной части вычитаемого, то надо отдельно вычесть целые и отдельно дробные части и результаты сложить; если дробная часть уменьшаемого меньше дробной части вычитаемого, то надо превратить ее в неправильную дробь, уменьшив на единицу целую часть, и отдельно вычесть целые и отдельно дробные части и результаты сложить; при необходимости сократить дробь (разделить числитель и знаменатель дроби на их наибольший общий делитель);
3) чтобы сложить (вычесть) две дроби с разными знаменателями, надо: привести данные дроби к общему знаменателю, а затем применить правило сложения (вычитания) дробей с одинаковыми знаменателями;
4) чтобы найти сумму (разность) двух дробей с одинаковыми знаменателями, нужно сложить (вычесть) их числители, а знаменатель оставить прежним;
5) произведением двух дробей является дробь, числитель которой равен произведению числителей, а знаменатель - произведению знаменателей;
6) чтобы выполнить умножение смешанных чисел, нужно записать эти числа в виде неправильных дробей, а затем воспользоваться правилом умножения дробей.
7) чтобы найти частное двух дробей, надо делимое умножить на число, обратное делителю. При этом помним, обратным числу
является число
;
8) чтобы выполнить деление смешанных чисел, нужно записать эти числа в виде неправильных дробей, а затем воспользоваться правилом деления дробей.
9) чтобы возвести смешанное число в степень, его сначала преобразуют в неправильную дробь, а затем эту неправильную дробь умножить саму на себя столько раз какова степень.
Чтобы преобразовать смешанное число в неправильную дробь, надо целую часть числа умножить на знаменатель дробной части и к полученному произведению прибавить числитель дробной части; эту сумму записать как числитель неправильной дроби, а в ее знаменатель записать знаменатель дробной части смешанного числа.
При выполнении умножения дробей, чтобы вычисления были проще, не надо перемножать сразу, лучше сделать это после сокращения. Сократить дробь - значит, разделить ее числитель и знаменатель на одно и то же число (наибольший общий делитель).
Если при вычислениях получилась неправильная дробь (числитель больше знаменателя), ее нужно преобразовать в смешанное число. Чтобы неправильную дробь, числитель которой нацело не делится на знаменатель, преобразовать в смешанное число, надо числитель разделить на знаменатель; полученное неполное частное записать как целую часть смешанного числа, а остаток - как числитель его дробной части.
№2.463 учебника 2021-2022 (стр. 101):

Пояснения:
При выполнении вычислений помним следующие правила:
1) Чтобы найти частное двух дробей, надо делимое умножить на число, обратное делителю. При этом помним, обратным числу
является число
.
2) Произведением двух дробей является дробь, числитель которой равен произведению числителей, а знаменатель - произведению знаменателей.
При выполнении умножения дробей, чтобы вычисления были проще, не надо перемножать сразу, лучше сделать это после сокращения. Сократить дробь - значит, разделить ее числитель и знаменатель на одно и то же число (наибольший общий делитель).
Если при вычислениях получилась неправильная дробь, преобразуем ее в натуральное (когда числитель делится нацело на знаменатель) или смешанное число. Чтобы неправильную дробь, числитель которой нацело не делится на знаменатель, преобразовать в смешанное число, надо числитель разделить на знаменатель; полученное неполное частное записать как целую часть смешанного числа, а остаток - как числитель его дробной части.
Вернуться к содержанию учебника