Вернуться к содержанию учебника
Выберите год учебника
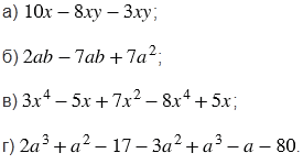
№584 учебника 2023-2026 (стр. 130):
Приведите подобные члены многочлена:

№584 учебника 2013-2022 (стр. 130):
При каком значении аргумента функция
= 0,01
принимает значение, равное:
а) 240;
б) -100.
№584 учебника 2023-2026 (стр. 130):
Вспомните:
№584 учебника 2013-2022 (стр. 130):
Вспомните:
№584 учебника 2023-2026 (стр. 130):

Пояснения:
Подобные слагаемые в многочлене называют подобными членами многочлена, а приведение подобных слагаемых в многочлене - приведением подобных членов многочлена.
Подобные слагаемые - это слагаемые, которые имеют одинаковую буквенную часть, т.е. подобные слагаемые могут отличаться только коэффициентами (в решении подобные слагаемые выделены одинаковым цветом). Чтобы сложить (или привести) подобные слагаемые, надо сложить их коэффициенты и полученный результат умножить на общую буквенную часть.
№584 учебника 2013-2022 (стр. 130):


Вернуться к содержанию учебника