Вернуться к содержанию учебника
Выберите год учебника
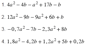
№585 учебника 2023-2026 (стр. 131):
Из данных многочленов выберите многочлен, тождественно равный выражению
:

№585 учебника 2013-2022 (стр. 131):
а) Составьте сумму многочленов
и преобразуйте ее в многочлен стандартного вида.
б) Составьте разность многочленов
и преобразуйте ее в многочлен стандартного вида.
№585 учебника 2023-2026 (стр. 131):
Вспомните:
№585 учебника 2013-2022 (стр. 131):
Вспомните:
№585 учебника 2023-2026 (стр. 131):

Ответ: 4.
Пояснения:
Чтобы определить, какой многочлен, тождественно равен выражению
, нужно в каждом из данных многочленов привести подобные члены. Подобные слагаемые в многочлене называют подобными членами многочлена, а приведение подобных слагаемых в многочлене - приведением подобных членов многочлена. Подобные слагаемые - это слагаемые, которые имеют одинаковую буквенную часть, т.е. подобные слагаемые могут отличаться только коэффициентами (в решении подобные слагаемые выделены одинаковым цветом). Чтобы сложить (или привести) подобные слагаемые, надо сложить их коэффициенты и полученный результат умножить на общую буквенную часть.
№585 учебника 2013-2022 (стр. 131):

Пояснения:
Чтобы найти сумму многочленов, нужно взять эти многочлены в скобки и поставить между ними знак "плюс". Затем нужно раскрыть скобки и привести подобные слагаемые (в решении выделены одинаковым цветом).
Чтобы найти разность многочленов, нужно взять эти многочлены в скобки и поставить между ними знак "минус". Затем нужно раскрыть скобки и привести подобные слагаемые (в решении выделены одинаковым цветом).
При раскрытии скобок помним:
1) если перед скобками стоит знак "+", то можно опустить скобки и этот знак "+", сохранив знаки слагаемых, стоящих в скобках. Если первое слагаемое в скобках записано без знака, то его надо записать со знаком "+";
2) Если перед скобками стоит знак "-", то можно опустить скобки и этот знак "-", изменив знаки слагаемых, стоящих в скобках на противоположные. Если первое слагаемое в скобках записано без знака, то его надо записать со знаком " - ".
Вернуться к содержанию учебника