Вернуться к содержанию учебника
Выберите год учебника
№542 учебника 2023-2026 (стр. 125):
При каком значении
значение выражения
равно нулю?
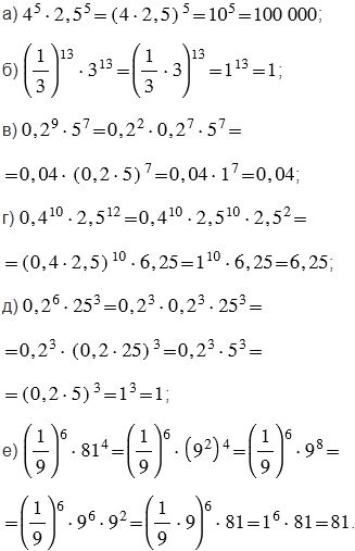
№542 учебника 2013-2022 (стр. 123):
Найдите значение выражения:

№542 учебника 2023-2026 (стр. 125):
Вспомните:
№542 учебника 2013-2022 (стр. 123):
Вспомните:
№542 учебника 2023-2026 (стр. 125):


№542 учебника 2013-2022 (стр. 123):

Пояснения:
Чтобы найти значение выражения, используем свойства степени:
1) при умножении степеней с одинаковыми основаниями основание оставляют прежним, а показатели степеней складывают;
2) чтобы возвести в степень произведение, достаточно возвести в эту степень каждый множитель и результаты перемножить;
3) при возведении степени в степень основание оставляют тем же, а показатели перемножают.
Вернуться к содержанию учебника