Вернуться к содержанию учебника
Выберите год учебника
№540 учебника 2023-2026 (стр. 125):
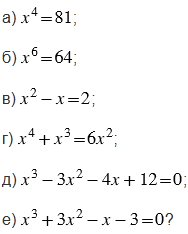
Какие из чисел -3, -2, -1, 1, 2, 3 являются корнями уравнения:

№540 учебника 2013-2022 (стр. 123):
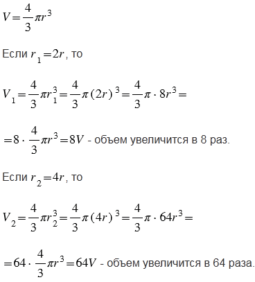
Объем шара вычисляется по формуле
, где
- радиус шара. Как изменится объем шара, если радиус увеличить в 2 раза; в 4 раза?
№540 учебника 2023-2026 (стр. 125):
Вспомните:
№540 учебника 2013-2022 (стр. 123):
Вспомните:
Вернуться к содержанию учебника