Вернуться к содержанию учебника
Выберите год учебника
№401 учебника 2023-2026 (стр. 99):
Найдите значение выражения:
а) 3 • 104;
б) 5 • 106;
в) 1,345 • 1012;
г) 23,49 • 109.
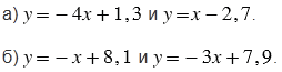
№401 учебника 2013-2022 (стр. 99):
Найдите координаты точки пересечения графиков функций:

№401 учебника 2023-2026 (стр. 99):
Вспомните:
№401 учебника 2013-2022 (стр. 99):
Вспомните:
№401 учебника 2023-2026 (стр. 99):
а) 3 • 104 = 3 • 10 000 = 30 000;
б) 5 • 106 = 5 • 1 0000 000 = 5 000 000;
в) 1,345 • 1012 =
= 1,345 • 1 000 000 000 000 =
= 1 345 000 000 000;
г) 23,49 • 109 = 23,49 • 1 000 000 000 =
= 23 490 000 000.
Пояснения:
При вычислении значений числовых выражений, не содержащих скобки, принят следующий порядок действий: сначала выполняют возведение в степень, затем умножение и деление, далее сложение и вычитание.
№401 учебника 2013-2022 (стр. 99):



Вернуться к содержанию учебника