Вернуться к содержанию учебника
Выберите год учебника
№346 учебника 2023-2026 (стр. 87):
Постройте график функции

Определите, при каких значениях
прямая
=
и график данной функции:
а) не имеет общих точек;
б) имеют ровно одну общую точку;
в) имеют ровно две общие точки.
№346 учебника 2013-2022 (стр. 88):
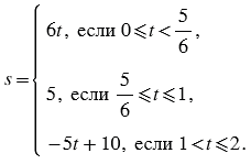
Пешеход, отправившийся из дома на прогулку, оказался через
ч на расстоянии
км от дома. Зависимость
от
задана тремя формулами:

Найдите расстояние
при
, равном 0;
;
; 1; 1,5; 2.
№346 учебника 2023-2026 (стр. 87):
Вспомните:
№346 учебника 2013-2022 (стр. 88):
Вспомните:
Вернуться к содержанию учебника