Вернуться к содержанию учебника
Выберите год учебника
№248 учебника 2023-2026 (стр. 53):
Задайте неравенством числовой промежуток, изображенный на рисунке:

№248 учебника 2013-2022 (стр. 53):
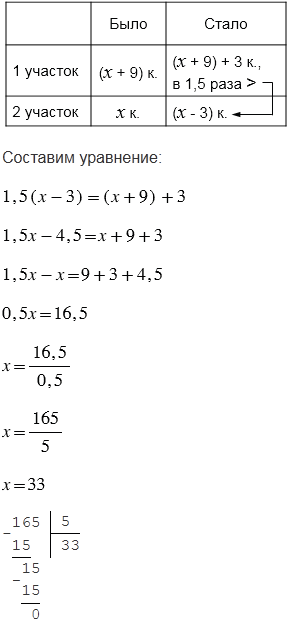
На первом участке было посажено на 9 кустов смородины больше, чем на втором. Если со второго участка пересадить на первый 3 куста, то на первом участке станет в 1,5 раза больше кустов смородины, чем на втором. Сколько кустов смородины на первом участке?
№248 учебника 2023-2026 (стр. 53):
Вспомните:
№248 учебника 2013-2022 (стр. 53):
Вспомните:
Вернуться к содержанию учебника