Вернуться к содержанию учебника
Выберите год учебника
№229 учебника 2023-2026 (стр. 49):
Какие из чисел -4, -3, -1, 3, 4 являются корнями уравнения:

№229 учебника 2013-2022 (стр. 52):
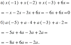
Докажите, что:
а) выражение
тождественно равно нулю;
б) выражение
тождественно равно
.
№229 учебника 2023-2026 (стр. 49):
Вспомните:
№229 учебника 2013-2022 (стр. 52):
Вспомните:
Вернуться к содержанию учебника