Вернуться к содержанию учебника
Выберите год учебника
№231 учебника 2023-2026 (стр. 49):
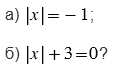
Почему не имеет корней уравнение:

№231 учебника 2013-2022 (стр. 52):
Докажите, что значение выражения не зависит от
:

№231 учебника 2023-2026 (стр. 49):
Вспомните:
№231 учебника 2013-2022 (стр. 52):
Вспомните:
№231 учебника 2023-2026 (стр. 49):

№231 учебника 2013-2022 (стр. 52):

Пояснения:
Если выражение после выполнения преобразований не содержит переменную, то его значение не зависит от этой переменной.
При выполнении преобразований сначала раскрываем внутренние скобки, затем внешние скобки и приводим подобные слагаемые (подобные слагаемые в решении выделены одинаковым цветом).
При раскрытии скобок помним:
1) если перед скобками стоит знак "плюс", то скобки можно опустить, сохранив знак каждого слагаемого, заключенного в скобки;
2) если перед скобками стоит знак "минус", то скобки можно опустить, изменив знак каждого слагаемого, заключенного в скобки, на противоположный.
Вернуться к содержанию учебника