Вернуться к содержанию учебника
Выберите год учебника
№232 учебника 2023-2026 (стр. 49):
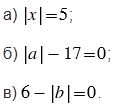
Решите уравнение:

№232 учебника 2013-2022 (стр. 52):
Докажите, что если одно из чисел кратно 3, а другое кратно 5, то их произведение кратно 15.
№232 учебника 2023-2026 (стр. 49):
Вспомните:
№232 учебника 2013-2022 (стр. 52):
Вспомните:
№232 учебника 2023-2026 (стр. 49):

Пояснения:
При решении уравнений учитываем то, что модули противоположных чисел равны. Также в пунктах б) и в) используем свойство уравнений, согласно которому корни уравнения не изменяются, если слагаемое перенести из одной части уравнения в другую, изменив при этом его знак.
№232 учебника 2013-2022 (стр. 52):

Вернуться к содержанию учебника