Вернуться к содержанию учебника
Выберите год учебника
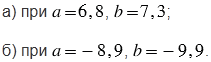
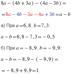
№225 учебника 2023-2026 (стр. 49):
Найдите значение выражения
:

№225 учебника 2013-2022 (стр. 51):
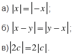
Объясните, почему равенство является тождеством:

№225 учебника 2023-2026 (стр. 49):
Вспомните:
№225 учебника 2013-2022 (стр. 51):
Вспомните:
№225 учебника 2023-2026 (стр. 49):

Пояснения:
Чтобы найти значение буквенного выражения при заданных числовых значениях переменных, входящих в него, сначала упрощаем это выражение, а затем в упрощенное выражение вместо букв подставляем числа, им соответствующие, и выполняем вычисления.
При упрощении выражений сначала раскрываем скобки, учитывая то, что если перед скобками стоит знак "минус", то скобки можно опустить, изменив знак каждого слагаемого, заключенного в скобки, на противоположный. Затем в выражении приводим подобные слагаемые (в решении подобные слагаемые выделены одинаковым цветом).
№225 учебника 2013-2022 (стр. 51):


Вернуться к содержанию учебника