Вернуться к содержанию учебника
Выберите год учебника
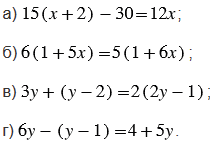
№157 учебника 2023-2026 (стр. 37):
Решите уравнение:

№157 учебника 2013-2022 (стр. 34):
Старинная задача. Послан человек из Москвы в Вологду, и велено ему проходить во всякий день по 40 верст. На следующий день вслед ему был послан другой человек, и велено ему проходить по 45 верст в день. Через сколько дней второй догонит первого?
№157 учебника 2023-2026 (стр. 37):
Вспомните:
№157 учебника 2013-2022 (стр. 34):
Вспомните:
Вернуться к содержанию учебника